注册
登录
现在已知如下问题,并告诉你这题可以用网络流来解决,你该怎么做,该怎么建出网络流的模型?

显然可以发现绝不可能走横向向左的边,但可能走竖向向上的边(如下图)
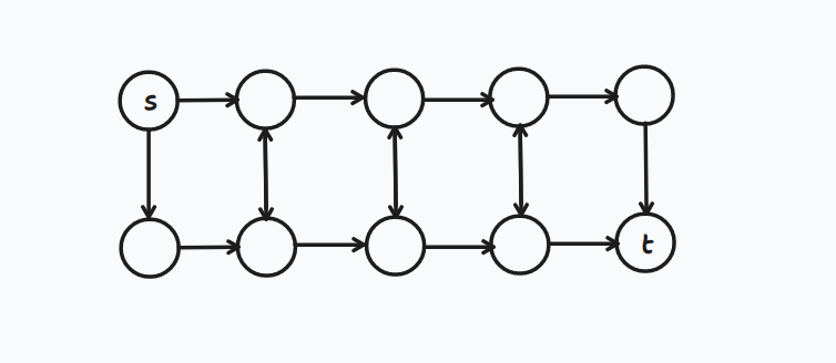
那么图其实就是这样的:问从 \(s\) 到 \(t\) 的最小花费

如果没有那 \(m\) 条限制,我们直接跑最短路就行了,加上这些限制,发现其实是个网络流模型,考虑如何建出网络流模型。
我们虚构出以下的模型以方便理解——很典的模型:对偶图!(具体什么是对偶图自行了解)

注:没方向的边是现在还不清楚该怎么建,稍后考虑。
每条红边(网络流上的边)的权值就是其交叉的黑边(实际的图)的权值
(好像个灯笼)现在实际上从 s 到 t 的最短花费其实就是 s 到 t 的红色连边构成的图的最小割了。
为什么?我们单独扣出来两个点证明一下:

如上图,先不考虑横着的红边的话,根据最小割知识,我们知道在路径 \((s,x) 和 (x,t)\) 中必须要割掉一条且只割掉一条,同样,在 \((s,y) 和 (y, t)\) 中必须要割掉一条且只割掉一条,(必须割一条是为了满足没有增广路可以从 s 到 t );
为什么各只能割掉一条呢?
对照实际的图,发现一样,如果走 1->2 这条边,一定不会走 4->5 这条边,走 2->3 一定不会走 5->6;
如果走了 2->5,那么要么是走 1->2->5->6,要么是走 4->5->2->3。
所以其实可以发现最小割就是原图中的最短路。
解决了以上问题,那么现在我们只需再解决 \(m\) 个限制条件 和 灯笼图中没有方向的红边(最左边和最右边点的边) 两个问题即可。
还是扣出两个点,(只扣模型点了),如果题目限制同时走 s->x 和 y->t (x 和 y 并不一定相邻)时,需要再增加大小为 \(c\) 的花费。(现在暂时当作没有虚线边)

那么等同于我们需要考虑如何使得在既割 s->x 又割 y->t 的情况下,还需要再多割一条花费为 \(c\) 的边,我们再建一条从 y 到 x ,花费为 \(c\) 的边就解决了。(就是图中虚线边)。
显然割掉 s->x 和 y->t 后,还有一条增广路 s->y->x->t,所以必须再割掉 y->x,(上文已经证明出来此时不会再割 x->t 和 s->y )。ok 了。
现在把最右边那部分边拿出来,显然可以连成这样:

可以发现,在 1、2 边之间(显然这两条边只能走一个)如果我们走的是 2,则没什么事;但如果走的是 1 这条边,那么就一定要走 3 这条边。考虑在网络流上怎么解决?
意思就是需要在 a、b 之间选择割 a 这条边的时候,必须要再割掉 e 这条边。
其实把 d 权值附为 0,c 附为 inf,然后 e 从右边那个点连向左边那个即可,这样保证割 d 不割 c,此时若割 a,则还需要割掉 e 以使增广路 c-e-b 不再增广。
如下图:
什么,你要看代码?还是自己写吧
#include <bits/stdc++.h>
#define int long long
typedef long long ll;
using namespace std;
const int N = 1e4 + 10;
const ll inf = 20071120100000000;
int n, m, s, t;
ll dis[N], ans; int now[N];
int tot=1, head[N], to[N<<1], nxt[N<<1]; ll w[N<<1];
inline void add(int x, int y, ll z){
w[++tot] = z, w[tot+1] = 0;
to[tot] = y, to[tot+1] = x;
nxt[tot] = head[x], nxt[tot+1] = head[y];
head[x] = tot++, head[y] = tot;
}
inline int bfs(){
for(int i=0; i<=n+2; i++) dis[i] = inf;
queue<int>q; q.push(s);
dis[s] = 0, now[s] = head[s];
while(q.size())
{
int x = q.front(); q.pop();
for(int i=head[x]; i; i=nxt[i]){
int y = to[i];
if(w[i] > 0 and dis[y] == inf){
dis[y] = dis[x] + 1;
q.push(y); now[y] = head[y];
if(y == t) return 1;
}
}
}
return 0;
}
inline int dfs(int x, ll sum){
if(x == t) return sum;
ll k = 0, res = 0;
for(int i=now[x]; i&∑ i=nxt[i]){
now[x] = i; int y = to[i];
if(w[i] > 0 and dis[y] == dis[x] + 1){
k = dfs(y, min(sum, w[i]));
if(k == 0) dis[y] = inf;
w[i] -= k, w[i^1] += k;
res += k, sum -= k;
}
}
return res;
}
signed main(){ //currency
freopen("currency.in", "r", stdin), freopen("currency.out", "w", stdout);
ios::sync_with_stdio(false), cin.tie(0), cout.tie(0);
cin>>n>>m; s = n + 1, t = n + 2; int x;
for(int i=1; i<n; i++) cin>>x, add(s, i, x);
for(int i=1; i<=n; i++){
cin>>x; add(i, i-1, x);
if(i != 1 and i != n) add(i-1, i, x);
}
for(int i=1; i<n; i++) cin>>x, add(i, t, x);
for(int i=1; i<=m; i++){
int y, z; cin>>x>>y>>z;
add(y, x, z);
}add(s, 0, 0), add(0, t, inf); add(s, n, inf), add(n, t, 0);
while(bfs()) ans += dfs(s, inf);
cout<<ans<<"\n";
return 0;
}